Faits saillants
- Forte minéralisation en lithium régulièrement recoupée sur de larges intervalles en forage intercalaire à CV5.
- 122,5 m à 1,42 % Li2O, incluant 35,8 m à 2,15 % Li2O (CV24-405).
- 71,4 m à 1,57 % Li2O, incluant 14,2 m à 3,15 % Li2O (CV24-435).
- 68,7 m à 1,56 % Li2O et 22,5 m à 1,04 % Li2O (CV24-414).
- 74,9 m à 1,28 % Li2O, incluant 28,1 m à 2,28 % Li2O (CV24-423A).
- 53,0 m à 1,22 % Li2O, incluant 25,0 m à 1,65 % Li2O (CV24-450).
- Les travaux de forage de l’hiver 2024 à CV5 avaient pour but d’étayer un rehaussement du degré de confiance des ressources minérales, de la catégorie présumée à la catégorie indiquée, pour une publication ciblée au T3 2024, incluant une première estimation de ressources pour CV13.
- Les résultats de plusieurs sondages ciblant la zone à haute teneur nouvellement découverte à CV13 restent à venir, et la Société entend annoncer les résultats d’analyse dès qu’ils auront été reçus au cours des prochaines semaines.
- 38 887 m (111 sondages) du programme de forage de l’hiver 2024 restent à publier – 27 611 m (67 sondages) à CV5 et 11 276 m (44 sondages) à CV13.
Métaux de Batteries Patriot inc. (la « Société » ou « Patriot ») (TSX : PMET) (ASX : PMT) (OTCQX : PMETF) (FSE : R9GA) a le plaisir d’annoncer le prochain lot de résultats d’analyse de carottes de forage pour des sondages forés en 2024 sur la pegmatite à spodumène CV5. La propriété Corvette (la « propriété » ou le « projet »), détenue à 100 % par la Société, est située dans la région d’Eeyou Istchee Baie-James au Québec. La pegmatite à spodumène CV5, où une première estimation de ressources minérales (« ERM ») fait état de 109,2 Mt à 1,42 % Li2O de ressources présumées1, est située à environ 13,5 km au sud de la route régionale Transtaïga praticable à l’année et du réseau de lignes électriques.
Darren L. Smith, vice-président à l’exploration de la Société, a déclaré : « Cette deuxième ronde de résultats d’analyse de carottes de forage en provenance du programme intercalaire à CV5 continue de répondre à nos attentes. Combinés à la nouvelle découverte à haute teneur à CV13, les résultats du programme de l’hiver 2024 continuent de démontrer la qualité et l’envergure manifestes à Corvette. »
« L’équipe a déployé d’énormes efforts pour faire avancer ce qui était un programme de forage à très grande échelle au cours des 6 à 8 derniers mois. Grâce à ces efforts, tous les travaux de forage réalisés jusqu’à notre toute dernière pause saisonnière, incluant la découverte à haute teneur récemment mise en lumière à CV13, seront intégrés dans la mise à jour des ressources à venir », a ajouté M. Smith.
Figure 1 : Sondages forés sur la pegmatite à spodumène CV5 jusqu’à la fin d’avril 2024.
Les résultats de forage pour 20 sondages forés dans le cadre du programme de forage de l’hiver 2024 récemment complété sur la pegmatite à spodumène CV5 sont présentés dans ce communiqué (figure 1). Les meilleurs résultats comprennent :
- 122,5 m à 1,42 % Li2O, incluant 35,8 m à 2,15 % Li2O (CV24-405).
- 71,4 m à 1,57 % Li2O, incluant 14,2 m à 3,15 % Li2O (CV24-435).
- 68,7 m à 1,56 % Li2O et 22,5 m à 1,04 % Li2O (CV24-414).
- 74,9 m à 1,28 % Li2O, incluant 28,1 m à 2,28 % Li2O (CV24-423A).
- 53,0 m à 1,22 % Li2O, incluant 25,0 m à 1,65 % Li2O (CV24-450).
Les sondages dont les résultats sont présentés dans ce communiqué couvrent une grande proportion de l’étendue latérale de la pegmatite à spodumène CV5. Les sondages ont été forés à des orientations diverses, ciblant des sections spécifiques du corps de pegmatite en profondeur sur une étendue latérale significative. Les résultats continuent de démontrer des épaisseurs et des teneurs en lithium robustes pour le ou les corps de pegmatite à spodumène qui définissent CV5 (figures 2 et 3).
Le programme de forage de l’hiver 2024 à CV5 était axé sur le forage intercalaire des ressources et couvrait ~3,9 km de l’étendue latérale totale de 4,6 km de la pegmatite définie jusqu’à maintenant. Le principal objectif du forage intercalaire consiste à rehausser le degré de confiance du modèle géologique à CV5 afin d’étayer la conversion des ressources minérales de la catégorie présumée à la catégorie indiquée. Cela implique aussi la délimitation d’un corps cohérent de ressources minérales indiquées pour soutenir des travaux avancés de mise en valeur et les études économiques à venir à CV5.
Le programme de forage de l’hiver 2024 (maintenant terminé) a totalisé 62 518 m (166 sondages), incluant 50 961 m (121 sondages) à CV5 et 11 557 m (45 sondages) à CV13, dont 38 886,6 m (111 sondages) restent à publier – 27 611 m (67 sondages) à CV5 et 11 276 m (44 sondages) à CV13. Cela inclut plusieurs sondages ciblant la zone à haute teneur nouvellement découverte à CV13, dont les résultats restent à venir.
Une mise à jour de l’ERM pour le projet Corvette, intégrant tous les travaux de forage jusqu’en avril 2024, est planifiée pour le T3 2024. Cette mise à jour de l’ERM comprendra les deux pegmatites à spodumène, CV5 et CV13, et des totaux anticipés de 134 129 m (369 sondages) et de 29 121 m (133 sondages) de forage, respectivement.
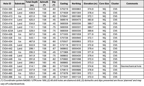
Les résultats d’analyse des échantillons de carottes de forage pour les sondages ciblant la pegmatite à spodumène CV5 annoncés dans ce communiqué sont présentés au tableau 1 pour toutes les intersections de pegmatite de >2 m. La localisation et les attributs des sondages sont présentés au tableau 2.
Figure 2 : Intersection de pegmatite à spodumène à haute teneur dans le sondage CV24-435 à CV5. La teneur des carottes de forage dans l’intervalle présenté (271,0 m à 284,5 m) est de ~2,9 % Li2O, incluant 4,77 % Li2O de 281,0 m à 282,0 m.
Figure 3 : Gros cristaux de spodumène dans une pegmatite quartzifère dans le sondage CV24-435 à une profondeur de ~311,5 m.
Tableau 1 : Sommaire des résultats d’analyse des carottes de forage pour les sondages ciblant la pegmatite à spodumène CV5 annoncés dans ce communiqué.
Tableau 2 : Attributs des sondages ciblant la pegmatite à spodumène CV5 dont les résultats sont présentés dans ce communiqué.
1 L’estimation des ressources minérales pour CV5 (109,2 Mt à 1,42 % Li2O et 160 ppm Ta2O5 de ressources présumées) est présentée à une teneur de coupure de 0,40 % Li2O à la date d’effet du 25 juin 2023 (jusqu’au sondage CV23-190 inclusivement). Les ressources minérales ne sont pas des réserves minérales puisque leur viabilité économique n’a pas été démontrée. Le plus gros inventaire de pegmatite lithinifère dans les Amériques en termes d’ECL contenu.
Assurance-qualité / Contrôle de la qualité (AQCQ)
Un protocole d’assurance-qualité et de contrôle de la qualité conforme aux meilleures pratiques de l’industrie a été intégré au programme et comprenait l’insertion systématique de blancs (quartz) et de matériaux de référence certifiés dans les lots d’échantillons, selon un taux d’environ 5 %. De plus, l’analyse de duplicatas d’échantillons sous forme de fractions de pulpes a été effectuée pour évaluer la précision analytique, et des duplicatas externes (secondaires) sous forme de fractions de pulpes ont été préparés par le laboratoire principal pour analyse de vérification et validation ultérieure à un laboratoire secondaire.
Tous les échantillons de carottes de forage ont été expédiés aux laboratoires de SGS Canada à Radisson, Québec, pour préparation des échantillons (code PRP90 spécial), incluant un séchage à 105 °C, concassage à 90 % passant 2 mm, division dans un diviseur à riffles pour prélever une fraction de 250 g, et pulvérisation à 85 % passant 75 microns. Les pulpes ont été expédiées par voie aérienne aux laboratoires de SGS Canada à Burnaby, Colombie-Britannique, où les échantillons ont été homogénéisés et par la suite analysés pour plusieurs éléments (incluant Li et Ta) par fusion au peroxyde de sodium avec finition par ICP-AES/MS (codes GE_ICP91A50 et GE_IMS91A50).
À propos du corridor de lithium CV
Le corridor de lithium CV est un district émergent de pegmatite à spodumène découvert par la Société en 2017 qui est interprété comme s’étendant sur plus de 50 kilomètres sur la propriété Corvette. La zone centrale comprend la pegmatite à spodumène CV5 d’environ 4,6 km de long, où une première estimation de ressources minérales fait état de 109,2 Mt à 1,42 % Li2O de ressources présumées1.
À ce jour, huit (8) groupes distincts de pegmatite lithinifère ont été découverts sur la propriété Corvette – CV4, CV5, CV8, CV9, CV10, CV12, CV13 et CV14 récemment découvert. Compte tenu de la proximité de certains affleurements de pegmatite et de la faible profondeur de la couverture de till dans la région, il est probable que certains des affleurements reflètent une exposition de surface discontinue d’un seul « affleurement » de pegmatite de plus grande taille sous la surface.
Personne qualifiée/compétente
L’information contenue dans le présent communiqué qui renvoie aux résultats d’exploration pour la propriété Corvette est fondée sur, et reflète fidèlement, l’information compilée par Darren L. Smith, M. Sc., géologue professionnel, qui est une personne qualifiée au sens du Règlement 43-101 sur l’information concernant les projets miniers, membre en règle de l’Ordre des géologues du Québec (numéro de permis 01968) et de l’Association of Professional Engineers and Geoscientists of Alberta (numéro de membre 87868). M. Smith a examiné et approuvé l’information technique contenue dans le présent communiqué.
- Smith est vice-président à l’exploration de Métaux de Batteries Patriot inc. et détient des actions ordinaires et des options de la Société.
- Smith possède une expérience suffisante, qui est pertinente pour le style de minéralisation, le type de gîte à l’étude et les activités exercées, pour être qualifié de « personne compétente », au sens attribué au terme Competent Person dans l’Australasian Code for Reporting of Exploration Results, Mineral Resources and Ore Reserves (le code du JORC). M. Smith consent à l’inclusion, dans le présent communiqué, des propos fondés sur cette information dans la forme et selon le contexte dans lesquels elle figure.
À propos de Métaux de Batteries Patriot inc.
Métaux de Batteries Patriot inc. est une société d’exploration pour le lithium de roche dure qui se concentre sur l’avancement de sa propriété Corvette de l’échelle d’un district, détenue à 100 % par la Société et située à proximité d’une route régionale et de lignes de transmission électrique dans la région d’Eeyou Istchee Baie-James au Québec (Canada). La propriété Corvette abrite la pegmatite à spodumène CV5, dont la première estimation des ressources minérales se chiffre à 109,2 Mt à 1,42 % Li2O de ressources présumées1, se classant comme la plus grande ressource de pegmatite lithinifère des Amériques en termes d’équivalent de carbonate de lithium contenu (ECL) et parmi les 10 plus grandes ressources de pegmatite lithinifère au monde. De plus, la propriété Corvette couvre plusieurs autres groupes de pegmatites à spodumène qui n’ont pas encore été vérifiés par forage, ainsi qu’un corridor de prospection de plus de 20 km qui reste à évaluer.
1 L’estimation des ressources minérales pour CV5 (109,2 Mt à 1,42 % Li2O et 160 ppm Ta2O5 de ressources présumées) est présentée à une teneur de coupure de 0,40 % Li2O à la date d’effet du 25 juin 2023 (jusqu’au sondage CV23-190 inclusivement). Les ressources minérales ne sont pas des réserves minérales puisque leur viabilité économique n’a pas été démontrée. Le plus gros inventaire de pegmatite lithinifère dans les Amériques en termes d’ECL contenu.
Pour obtenir de plus amples renseignements, veuillez communiquer avec nous à l’adresse [email protected], nous téléphoner au numéro +1 (604) 279-8709, ou visiter notre site web au www.patriotbatterymetals.com. Veuillez également consulter les documents d’information continue de la Société qui ont été déposés et qui sont disponibles sous son profil aux adresses www.sedarplus.ca et www.asx.com.au, pour obtenir les données d’exploration disponibles.
Le présent communiqué a été approuvé par le conseil d’administration.
« KEN BRINSDEN »
Kenneth Brinsden, président, chef de la direction et directeur général
Brad Seward
Vice-président, Relations avec les investisseurs
Tél. : +61 400 199 471
Courriel : [email protected]
Olivier Caza-Lapointe
Responsable, Relations avec les investisseurs – Amérique du Nord
Tél. : +1 (514) 913-5264
Courriel : [email protected]
Mise en garde concernant l’information prospective
Le présent communiqué de presse contient de l’« information prospective » ou des « énoncés prospectifs » au sens des lois sur les valeurs mobilières applicables et d’autres énoncés qui ne sont pas des faits historiques. Les énoncés prospectifs sont inclus pour fournir de l’information sur les attentes et les plans actuels de la direction qui permet aux investisseurs et à d’autres personnes de mieux comprendre les plans d’affaires, le rendement financier et la situation financière de la Société.
Tous les énoncés, autres que les énoncés de faits historiques, contenus dans le présent communiqué de presse concernant la stratégie, les activités futures, les évaluations techniques, les perspectives, les plans et les objectifs de la direction de la Société sont des énoncés prospectifs qui comportent des risques et des incertitudes. Les énoncés prospectifs se reconnaissent souvent, mais pas toujours, par l’emploi d’expressions et de mots comme « planifier », « prévoir », « estimer », « avoir l’intention de » ou « anticiper », « s’attendre à » ou « croire », ou des variantes de ceux-ci, éventuellement employés au futur ou au conditionnel, ou par l’emploi de tournures indiquant la possibilité que certaines mesures soient prises, que certains événements se produisent ou que certains résultats soient atteints. Les énoncés prospectifs dans ce communiqué comprennent, sans s’y limiter, des énoncés concernant : la réalisation d’une mise à jour de l’ERM sur la propriété, le traitement et la réception de tous les échantillons de carottes de forage restants et des énoncés portant sur la continuité de la pegmatite à spodumène CV5.
L’information prospective est fondée sur certaines hypothèses et d’autres facteurs importants qui, s’ils étaient erronés, pourraient faire en sorte que les résultats, le rendement et les réalisations réels de la Société diffèrent considérablement des résultats, du rendement et des réalisations futurs exprimés ou suggérés dans cette information ou ces énoncés. Rien ne garantit que cette information ou ces énoncés se révéleront exacts. Les principales hypothèses sur lesquelles l’information prospective de la Société est fondée comprennent notamment que les travaux d’exploration et d’estimation des ressources minérales se poursuivent sur la propriété tels que planifiés, et que les résultats d’exploration et de mise en valeur continuent de soutenir les plans actuels de la direction en ce qui concerne le développement de la propriété.
Les lecteurs sont priés de noter que la liste ci-dessus n’est pas exhaustive et ne présente pas la totalité des facteurs et des hypothèses qui pourraient avoir été utilisés. Les énoncés prospectifs sont également sujets à des risques et à des incertitudes auxquels sont confrontées les activités de la Société, qui pourraient avoir une incidence défavorable importante sur les activités, la situation financière, les résultats d’exploitation et les perspectives de croissance de la Société. Parmi les risques auxquels la Société est exposée et les incertitudes qui pourraient faire en sorte que les résultats réels diffèrent sensiblement de ceux exprimés dans les énoncés prospectifs, on retrouve notamment la capacité de mettre en œuvre les plans relatifs au projet de la Société, ainsi que le moment de leur mise en œuvre. En outre, les lecteurs sont priés d’examiner attentivement l’analyse détaillée des risques présentée dans la plus récente notice annuelle de la Société déposée sur SEDAR+, qui est intégrée par renvoi dans le présent communiqué de presse, pour mieux comprendre les risques et les incertitudes qui touchent les activités et l’exploitation de la Société.
Bien que la Société soit d’avis que ses attentes sont fondées sur des hypothèses raisonnables et qu’elle ait tenté de cerner les facteurs importants qui pourraient faire en sorte que les actions, les événements ou les résultats réels diffèrent considérablement de ceux qui sont décrits dans les énoncés prospectifs, d’autres facteurs pourraient faire en sorte que les actions, les événements ou les résultats diffèrent de ceux qui sont prévus, estimés ou voulus. Rien ne garantit que cette information prospective se révélera exacte, car les résultats réels et les événements futurs pourraient différer de manière importante de ceux anticipés dans cette information. Par conséquent, ces risques ne sont pas exhaustifs; cependant, ils devraient être examinés attentivement. Si l’un de ces risques ou l’une de ces incertitudes se concrétisait, les résultats réels pourraient être très différents de ce que les énoncés prospectifs des présentes laissent entendre. Compte tenu des risques, des incertitudes et des hypothèses qui sont inhérents aux énoncés prospectifs, les lecteurs ne devraient pas se fier outre mesure à ceux-ci.
Les énoncés prospectifs qui sont contenus dans les présentes visent à aider les investisseurs à comprendre les plans d’affaires, le rendement financier et la situation financière de la Société et pourraient ne pas convenir à d’autres fins.
Les énoncés prospectifs contenus dans le présent document sont faits seulement à la date des présentes. La Société n’a pas l’intention ou n’est assujettie à aucune obligation de mettre à jour ou de réviser l’un des énoncés prospectifs à la suite de nouvelle information ou d’événements futurs, ou pour toute autre raison, sauf dans la mesure exigée par les lois applicables. La Société présente tous ses énoncés prospectifs sous réserve des présentes mises en garde.
Déclaration de la personne compétente (Règle d’inscription 5.22 de l’ASX)
L’estimation des ressources minérales qui figure dans le présent communiqué a été annoncée par la Société conformément à la Règle d’inscription 5.8 de l’ASX le 31 juillet 2023. La Société confirme qu’elle n’a connaissance d’aucune nouvelle information ou donnée ayant une incidence importante sur l’information incluse dans l’annonce et que toutes les hypothèses et tous les paramètres techniques importants qui sous-tendent les estimations dans l’annonce continuent de s’appliquer et n’ont pas changé de manière importante. La Société confirme que la forme et le contexte selon lesquels les conclusions de la personne compétente sont présentées n’ont pas été modifiés de manière importante par rapport à l’annonce initialement faite aux marchés.
Annexe 1 – Tableau 1 du Code du JORC 2012 (Règle d’inscription 5.7.1 de l’ASX)
Section 1 – Techniques et données d’échantillonnage
| Critère | Explication du Code du JORC | Commentaires |
| Techniques d’échantillonnage | · Nature et qualité de l’échantillonnage (p. ex. : rainures coupées, éclats rocheux prélevés au hasard, ou outils de mesure spécialisés spécifiques conformes aux normes de l’industrie et appropriés pour les minéraux à l’étude, tels que les sondes gamma en fond de trou ou les appareils XRF portables, etc.). Ces exemples ne doivent pas être considérés comme étant limitatifs du sens général de l’échantillonnage.· Inclure une référence aux mesures prises pour assurer la représentativité des échantillons et à l’étalonnage approprié de tout outil ou système de mesure utilisé.
· Aspects de la détermination de la minéralisation qui sont importants dans le cadre du rapport public. · Dans les cas où des travaux « conformes aux normes de l’industrie » ont été effectués, cela serait relativement simple (p. ex. : « du forage à circulation inverse a été utilisé pour obtenir des échantillons de 1 m à partir desquels 3 kg ont été pulvérisés pour produire une charge de 30 g pour pyroanalyse »). Dans d’autres cas, des explications plus détaillées peuvent s’avérer nécessaires, par exemple en présence d’or grossier qui cause des problèmes d’échantillonnage inhérents. Dans le cas de substances ou de types de minéralisation inhabituels (p. ex. : nodules sous-marins), la divulgation d’informations détaillées peut être justifiée. |
· Les protocoles d’échantillonnage des carottes de forage sont conformes aux pratiques courantes de l’industrie.· L’échantillonnage des carottes de forage a été guidé par les lithologies déterminées lors de la diagraphie géologique (c’est-à-dire par un géologue). Tous les intervalles de pegmatite ont été échantillonnés dans leur intégralité (demi-carottes), peu importe si de la minéralisation en spodumène avait été notée ou non (afin d’assurer une approche d’échantillonnage non biaisée), en plus de ~1 à 3 m d’échantillonnage dans l’encaissant adjacent (selon la longueur de l’intervalle de pegmatite) afin de bien délimiter les extrémités de la pegmatite échantillonnée.
· La longueur minimum des échantillons individuels est typiquement de 0,5 m et la longueur maximum est typiquement de 2,0 m. La longueur ciblée pour les échantillons individuels de pegmatite est de 1,0 à 1,5 m. · Toutes les carottes de forage sont orientées selon la foliation maximum avant d’être diagraphiées et échantillonnées et sont sciées en demi-carottes; une moitié du carottage est prélevé pour analyse et l’autre demi-carotte laissée dans la boîte comme témoin. · Les échantillons de carottes de forage prélevées des sondages ont été expédiés aux laboratoires de SGS Canada à Val-d’Or, Québec (CV5) et à Radisson, Québec (CV13), pour préparation des échantillons (code PRP90 spécial), incluant un séchage à 105 °C, concassage à 90 % passant 2 mm, division dans un diviseur à riffles pour prélever une fraction de 250 g, et pulvérisation à 85 % passant 75 microns. Les pulpes d’échantillons de carottes de forage ont été expédiées par voie aérienne aux laboratoires de SGS Canada à Burnaby, Colombie-Britannique, où les échantillons ont été homogénéisés et par la suite analysés pour plusieurs éléments (incluant Li et Ta) par fusion au peroxyde de sodium avec finition par ICP-AES/MS (codes GE_ICP91A50 et GE_IMS91A50). |
| Techniques de forage | · Type de forage (p. ex. : carottage, circulation inverse, marteau hors trou, rotatif à air comprimé, mototarière, Bangka, sonique, etc.) et détails (p. ex. : diamètre du carottage, tubage triple ou standard, profondeur de la transition au forage au diamant, trépan d’échantillonnage en fond de trou ou autre type, si le carottage est orienté et dans un tel cas, par quelle méthode, etc.). | · Tous les sondages ont été forés par forage au diamant carotté de calibre NQ. Le carottage n’était pas orienté. |
| Récupération des échantillons de forage | · Méthode d’enregistrement et d’évaluation de la récupération des échantillons de carottage et d’éclats rocheux et des résultats évalués.· Mesures prises pour maximiser la récupération des échantillons et assurer la nature représentative des échantillons.
· S’il existe un lien entre la récupération et la teneur des échantillons et si un biais d’échantillonnage peut s’être produit en raison de la perte ou du gain préférentiel de matériaux fins ou grossiers. |
· Toutes les carottes de forage ont fait l’objet d’une diagraphie géotechnique conforme aux pratiques courantes de l’industrie, incluant TCR, RQD, ISRM, et Q-Method. La récupération du carottage est très bonne et dépasse typiquement 90 %. |
| Diagraphie | · Si les échantillons de carottage et d’éclats rocheux ont été géologiquement et géotechniquement diagraphiés à un niveau de détail suffisant pour étayer une estimation de ressources minérales, des études minières et des études métallurgiques appropriées.· Si la diagraphie est de nature qualitative ou quantitative. Photographies du carottage (ou des tranchées, des rainures, etc.).
· La longueur totale et le pourcentage des intervalles pertinents diagraphiés. |
· Sur réception à la carothèque, toutes les carottes de forage sont replacées dans l’ordre, orientées selon la foliation maximum, marquées au mètre, et font l’objet d’une diagraphie géotechnique (incluant la structure), des patrons d’altération, de la géologie et de chaque échantillon sur une base individuelle. Des photos des boîtes de carottes sont aussi prises pour toutes les carottes de forage récupérées, peu importe la présence perçue ou non de minéralisation. Des mesures de la densité relative de la pegmatite ont aussi été prises à intervalles systématiques pour toutes les carottes de forage de pegmatite en utilisant la méthode d’immersion dans l’eau, ainsi que pour une sélection de carottes de forage des roches encaissantes.· La diagraphie est de nature qualitative et inclut des estimations de la granulométrie du spodumène, des inclusions et de la minéralogie.
· Ces pratiques de diagraphie sont conformes ou supérieures aux pratiques courantes actuelles de l’industrie. |
| Techniques de sous-échantillonnage et préparation des échantillons | · S’il s’agit de carottes de forage, si elles ont été fendues ou sciées et si des quarts, des moitiés ou des carottes entières ont été prélevés.· S’il ne s’agit pas de carottes de forage, si le matériel a été divisé à l’aide d’un diviseur à riffles, d’un tube d’échantillonnage ou d’un diviseur rotatif, etc., et s’il a été échantillonné humide ou sec.
· Pour tous les types d’échantillons, la nature, la qualité et la pertinence de la technique de préparation des échantillons. · Procédures de contrôle de la qualité adoptées pour toutes les étapes de sous-échantillonnage afin de maximiser la représentativité des échantillons. · Mesures prises pour s’assurer que l’échantillonnage est représentatif du matériel prélevé in situ, incluant par exemple les résultats de duplicatas de terrain ou de la deuxième demi-carotte. · Si la taille des échantillons est appropriée en fonction de la granulométrie du matériel échantillonné. |
· L’échantillonnage des carottes de forage est conforme aux meilleures pratiques de l’industrie. Les carottes de forage ont été sciées en deux; une moitié du carottage était expédiée pour analyse géochimique et l’autre demi-carotte laissée dans la boîte comme témoin. Le même côté de la carotte était échantillonné afin de maintenir la représentativité.· La taille des différents échantillons est appropriée pour le type de matériel analysé.
· Un protocole d’assurance-qualité et de contrôle de la qualité (AQCQ) conforme aux meilleures pratiques de l’industrie a été intégré au programme et comprenait l’insertion systématique de blancs (quartz) et de matériaux de référence certifiés (MRC) dans les lots d’échantillons, selon un taux d’environ 5 % chacun. De plus, l’analyse de duplicatas d’échantillons sous forme de fractions de pulpes a été effectuée pour évaluer la précision analytique, et des duplicatas externes (secondaires) sous forme de fractions de pulpes ont été préparés par le laboratoire principal pour analyse de vérification et validation ultérieure à un laboratoire secondaire. · Tous les protocoles employés sont considérés appropriés pour le type d’échantillons et la nature de la minéralisation et sont considérés comme étant l’approche optimale pour maintenir la représentativité lors de l’échantillonnage. |
| Qualité des données d’analyse et des tests en laboratoire | · La nature, la qualité et la pertinence des procédures d’analyse et de laboratoire utilisées et si la technique est considérée comme partielle ou totale.· Pour les outils géophysiques, les spectromètres, les appareils XRF portables, etc., les paramètres utilisés pour déterminer l’analyse, incluant la marque et le modèle de l’instrument, les temps de lecture, les facteurs d’étalonnage appliqués et leur dérive, etc.
· Nature des procédures de contrôle de la qualité adoptées (p. ex. : étalons, blancs, duplicatas, vérifications de laboratoires externes) et si des niveaux d’exactitude (c’est-à-dire absence de biais) et de précision acceptables ont été établis. |
· Les échantillons de carottes de forage prélevés des sondages ont été expédiés aux laboratoires de SGS Canada à Val-d’Or, Québec (CV5) et à Radisson, Québec (CV13) pour une préparation standard des échantillons (code PRP90 spécial), incluant un séchage à 105 °C, concassage à 90 % passant 2 mm, division dans un diviseur à riffles pour prélever une fraction de 250 g, et pulvérisation à 85 % passant 75 microns. Les pulpes d’échantillons de carottes de forage ont été expédiées par voie aérienne aux laboratoires de SGS Canada à Burnaby, Colombie-Britannique, où les échantillons ont été homogénéisés et par la suite analysés pour plusieurs éléments (incluant Li et Ta) par fusion au peroxyde de sodium avec finition par ICP-AES/MS (codes GE_ICP91A50 et GE_IMS91A50).· La Société se fie sur ses propres protocoles d’AQCQ internes (utilisation systématique de blancs, matériaux de référence certifiés et vérifications externes) ainsi que sur les protocoles d’AQCQ internes du laboratoire.
· Tous les protocoles employés sont considérés appropriés pour le type d’échantillons et la nature de la minéralisation et sont considérés comme étant l’approche optimale pour maintenir la représentativité lors de l’échantillonnage. |
| Vérification de l’échantillonnage et de l’analyse | · Vérification des intersections importantes par du personnel indépendant ou par d’autres employés de l’entreprise.· Utilisation de sondages jumelés.
· Documentation des données primaires, des procédures de saisie des données, et des protocoles de vérification et d’entreposage des données (physique et électronique). · Discussion de tout ajustement apporté aux données d’analyse. |
· Les intervalles sont examinés et compilés par le VP à l’exploration et le directeur de projet avant la divulgation, incluant un examen des données analytiques des échantillons d’AQCQ internes de la Société.· La saisie de données se fait à l’aide du logiciel MX Deposit, où les données de la diagraphie des carottes de forage sont entrées directement dans le logiciel pour stockage, incluant l’importation directe des certificats d’analyse du laboratoire sur réception. La Société a mis en place différents protocoles d’AQCQ sur place et par la suite pour assurer l’intégrité et l’exactitude des données.
· Les ajustements apportés aux données comprennent la présentation du lithium et du tantale sous forme d’oxydes alors qu’ils sont présentés sous forme d’éléments dans les certificats d’analyse. Les formules utilisées sont : Li2O = Li × 2,153, et Ta2O5 = Ta × 1,221. |
| Localisation des points de données | · Exactitude et qualité des levés utilisés pour localiser les sondages (levés des collets et en fond de trou), les tranchées, les excavations minières et autres emplacements utilisés dans l’estimation de ressources minérales.· Spécification du système de grille utilisé.
· Qualité et adéquation du contrôle topographique. |
· Chaque collet de forage a été arpenté à l’aide d’un appareil RTK Trimble Zephyr 3.· Le système de coordonnées utilisé est UTM NAD83 Zone 18.
· La Société a réalisé un levé LiDAR et orthophotographique à l’échelle de la propriété en août 2022, qui procure un contrôle topographique de grande qualité. · La qualité et l’exactitude des contrôles topographiques sont considérées adéquates pour le stade d’exploration avancée et de développement, incluant pour une estimation de ressources minérales. |
| Espacement et répartition des données | · Espacement des données aux fins de la présentation des résultats d’exploration.· Si l’espacement et la répartition des données sont suffisants pour établir le degré de continuité géologique et des teneurs approprié pour la procédure d’estimation des ressources minérales et des réserves de minerai et pour les classifications appliquées.
· Si les échantillons ont été regroupés en composites. |
· À CV5, l’espacement entre les collets des sondages est principalement établi en fonction d’une grille. Plusieurs collets sont typiquement implantés au même site de forage à des orientations différentes, de manière à obtenir des points de percée dans la pegmatite espacés de ~50 à 100 m.· À CV13, l’espacement entre les sondages respecte généralement une grille établie à ~100 m; toutefois, la localisation des collets et l’orientation des sondages peuvent être très variables, reflétant l’orientation variable du corps de pegmatite latéralement.
· À CV9, l’espacement entre les collets des sondages est irrégulier avec des sondages d’orientations variables et plusieurs collets au même site de forage. · Il est interprété que dans la grande majorité des cas, l’espacement entre les sondages à chaque pegmatite est suffisant pour étayer une estimation de ressources minérales. · La longueur des échantillons de carottes de forage varie typiquement entre 0,5 et 2,0 m et est de ~1,0 à 1,5 m en moyenne. L’échantillonnage est continu sur toute la pegmatite recoupée en forage. |
| Orientation des données par rapport aux structures géologiques | · Si l’orientation de l’échantillonnage permet d’obtenir un échantillonnage non biaisé des structures possibles et la mesure dans laquelle cela est connu, compte tenu du type de gîte.· Si la relation entre l’orientation de forage et l’orientation des principales structures minéralisées est considérée comme ayant introduit un biais d’échantillonnage, cela doit être évalué et signalé selon son importance. | · Aucun biais d’échantillonnage n’est anticipé en fonction de la structure au sein du corps minéralisé.· Les principaux corps minéralisés sont relativement non déformés et très compétents, mais sont fort probablement sous l’effet d’un contrôle structural important.
· À CV5, le corps minéralisé principal et les lentilles adjacentes sont fortement inclinés, ce qui génère des angles d’intersection obliques par rapport aux épaisseurs réelles qui varient en fonction de l’angle d’inclinaison du sondage et de l’orientation de la pegmatite au point d’intersection, c’est-à-dire que le pendage du corps minéralisé pegmatitique présente des variations latérales et verticales de telle sorte que l’épaisseur réelle n’est pas toujours apparente jusqu’à ce que plusieurs sondages aient été forés (selon un espacement approprié) le long d’une section en particulier. · À CV13, le corps de pegmatite principal montre une orientation variable faiblement inclinée vers le nord. · À CV9, l’orientation et la géométrie de la pegmatite ne sont pas bien comprises. La pegmatite est actuellement interprétée comme étant constituée d’un seul dyke principal qui affleure en surface, fortement incliné vers le nord et plongeant modérément vers l’est-sud-est. |
| Sécurité des échantillons | · Mesures prises pour assurer la sécurité des échantillons. | · Les échantillons ont été prélevés par le personnel de la Société ou ses consultants en respectant les protocoles de prélèvement et de manipulation des échantillons spécifiques au projet. Les échantillons de carottes de forage ont été ensachés, placés dans des supersacs de plus grande capacité pour plus de sécurité, accumulés sur des palettes et expédiés directement à Val-d’Or, Québec ou à Radisson, Québec, faisant l’objet d’un suivi durant l’expédition ainsi qu’une documentation de la chaîne de possession. À leur arrivée au laboratoire, les échantillons ont été comparés au manifeste d’expédition pour confirmer la présence de tous les échantillons. Au laboratoire, les sacs d’échantillons ont été examinés pour éliminer la possibilité qu’ils aient été trafiqués. |
| Audits ou examens | · Les résultats de tout audit ou examen des techniques et des données d’échantillonnage. | · Un examen des procédures d’échantillonnage du programme de forage de l’automne 2021 de la Société (CF21-001 à 004) et du programme de forage de l’hiver 2022 (CV22-015 à 034) a été complété par une personne compétente indépendante et ces procédures ont été jugées adéquates et acceptables à titre de meilleures pratiques de l’industrie (voir discussion dans le rapport technique intitulé « NI 43-101 Technical Report on the Corvette Property, Quebec, Canada » préparé par Alex Knox, M. Sc., P.Geo., publié le 27 juin 2022).· Un examen des procédures d’échantillonnage jusqu’à la fin du programme de forage de l’hiver 2023 de la Société (jusqu’au sondage CV23-190 inclusivement) a été complété par une personne compétente indépendante en lien avec la première estimation de ressources minérales pour la pegmatite CV5 et ces procédures ont été jugées adéquates et acceptables à titre de meilleures pratiques de l’industrie (voir discussion dans le rapport technique intitulé « NI 43‑101 Technical Report, Mineral Resource Estimate for the CV5 Pegmatite, Corvette Property » préparé par Todd McCracken, P.Geo., de BBA Engineering Ltd., et Ryan Cunningham, M.Eng., P.Eng., de Primero Group Americas Inc., publié le 8 septembre 2023 avec une date d’effet au 25 juin 2023).
· De plus, la Société examine et évalue continuellement ses procédures afin de les optimiser et d’assurer la conformité à toutes les étapes du prélèvement et de la manipulation des données d’échantillonnage. |
Section 2 – Présentation des résultats d’exploration
| Critère | Explication du Code du JORC | Commentaires |
| Statut des titres miniers et des titres de propriété | · Type, nom/numéro de référence, emplacement et droit de propriété incluant les ententes ou les enjeux importants avec des tierces parties comme des coentreprises, des partenariats, des redevances dérogatoires, des droits autochtones, des sites historiques, des contextes en milieu sauvage ou dans un parc national et le contexte environnemental.· La sécurité du titre détenu au moment de la publication, ainsi que tout obstacle connu à l’obtention d’un permis d’exploitation dans le secteur. | · La propriété Corvette est constituée de 424 claims désignés sur carte situés dans la région de la Baie-James au Québec, et Métaux de Batteries Patriot inc. est le détenteur de titres enregistré pour tous les claims. La limite nord du principal bloc de claims de la propriété est située à environ 6 km au sud du corridor d’infrastructures incluant la route Transtaïga et les lignes électriques. La pegmatite à spodumène CV5 est située environ 13,5 km au sud de la route régionale Transtaïga praticable à l’année et du réseau de lignes électriques. Les pegmatites à spodumène CV13 et CV9 sont respectivement situées à environ 3 km à l’ouest-sud-ouest et à 14 km à l’ouest de CV5.· La Société détient une participation de 100 % dans la propriété, sous réserve de différentes obligations de redevances découlant des ententes d’acquisition d’origine. DG Resources Management est titulaire d’une redevance de 2 % NSR (aucun rachat) sur 76 claims, D.B.A. Canadian Mining House est titulaire d’une redevance de 2 % NSR sur 50 claims (rachat d’une moitié pour 2 M$) et Redevances Aurifères Osisko est titulaire d’une redevance variable de 1,5 % à 3,5 % NSR sur les métaux précieux et de 2 % NSR sur tous les autres produits, sur 111 claims. La vaste majorité de la pegmatite à spodumène CV13, telle qu’actuellement délimitée, n’est pas assujettie à une redevance.
· La propriété ne couvre aucune aire environnementale particulièrement sensible ni aucun parc ou site historique à la connaissance de la Société. Il n’y a aucun empêchement connu aux activités sur la propriété, mis à part la saison de la chasse aux oies (typiquement de la mi-avril à la mi-mai), pendant laquelle les communautés ont demandé à ce qu’il n’y ait pas d’hélicoptère survolant le secteur, et la possibilité de feux de forêt selon la saison, l’envergure des feux et leur emplacement. · Les dates d’échéance des claims s’échelonnent entre février 2025 et novembre 2026. |
| Exploration effectuée par d’autres parties | · Reconnaissance et évaluation de l’exploration effectuée par d’autres parties. | · Aucun résultat d’analyse de carottes de forage provenant d’autres parties n’est divulgué dans les présentes.· Le plus récent examen indépendant de la propriété est un rapport technique intitulé « NI 43-101 Technical Report, Mineral Resource Estimate for the CV5 Pegmatite, Corvette Property, James Bay Region, Québec, Canada » préparé par Todd McCracken, P.Geo., de BBA Engineering Ltd., et Ryan Cunningham, M.Eng., P.Eng., de Primero Group Americas Inc., publié le 8 septembre 2023 avec une date d’effet au 25 juin 2023. |
| Géologie | · Type de gîte, contexte géologique et style de minéralisation. | · La propriété couvre une grande portion de la ceinture de roches vertes du Lac Guyer, considérée comme faisant partie de la plus grande ceinture de roches vertes de La Grande, et est dominée par des roches volcaniques métamorphisées au faciès des amphibolites. Le bloc de claims couvre principalement des roches du Groupe de Guyer (amphibolites, formations de fer, volcanites intermédiaires à mafiques, péridotites, pyroxénites, komatiites et volcanites felsiques). Les roches amphibolitisées orientées est-ouest (et généralement fortement inclinées vers le sud) dans cette région sont bordées au nord par la Formation de Magin (conglomérats et wackes) et au sud par un assemblage de tonalites, granodiorites et diorites, ainsi que des roches métasédimentaires du Groupe de Marbot (conglomérats et wackes). Plusieurs dykes gabbroïques d’âge protérozoïque et d’envergure régionale traversent aussi certaines parties de la propriété (dykes du Lac Esprit, dykes de Senneterre).· Le contexte géologique est favorable pour l’or, l’argent, les métaux de base, les éléments du groupe du platine et le lithium, selon plusieurs différents styles de minéralisation incluant les gîtes d’or orogénique (Au), les sulfures massifs volcanogènes (Cu, Au, Ag), encaissés dans des komatiites-roches ultramafiques (Au, Ag, EGP, Ni, Cu, Co) et des pegmatites (Li, Ta).
· L’exploration de la propriété a révélé la présence de trois principaux corridors d’exploration minérale, traversant de vastes portions de la propriété selon un axe à peu près est-ouest – le corridor Golden (or), le corridor Maven (cuivre, or, argent) et le corridor CV (lithium, tantale). Les pegmatites à spodumène CV5 et CV13 sont situées au sein du corridor CV. La minéralisation en lithium sur la propriété, incluant à CV5, CV13 et CV9, est observée au sein de pegmatites quartzofeldspathiques qui peuvent être exposées en surface sous forme d’affleurements en « dos de baleine » à fort relief. La pegmatite est souvent très grossièrement grenue et plutôt blanchâtre en apparence, avec certaines sections plus foncées généralement composées de mica et de quartz fumé et occasionnellement de tourmaline. · Les pegmatites riches en lithium à Corvette sont classées comme des pegmatites LCT. Les résultats d’analyse de carottes de forage et les études minéralogiques en cours, combinés à l’analyse et l’identification des minéraux sur le terrain, indiquent que le spodumène est le principal minéral de lithium sur la propriété, sans présence notable de pétalite, lépidolite, phosphates de lithium ou apatite. Les pegmatites présentent aussi des quantités importantes de tantale qui serait, selon les indications, principalement présent sous forme de tantalite. |
| Information sur les sondages | · Résumé de tous les renseignements importants pour comprendre les résultats d’exploration, incluant un tableau des informations suivantes pour tous les sondages importants :o Estant et nordant du collet du sondage
o Élévation (au-dessus du niveau de la mer ou d’un autre point de repère en mètres) de chaque collet de sondage o Pendage et azimut du sondage o Longueur dans l’axe de forage et profondeur de l’intersection o Longueur du sondage. · Si l’exclusion de ces renseignements est justifiée par le fait qu’ils ne sont pas importants et que cette exclusion ne nuit pas à la compréhension du rapport, la personne compétente doit expliquer clairement pourquoi c’est le cas. |
· L’information sur les attributs des sondages est présentée dans un tableau dans les présentes.· Les intersections de pegmatite de <2 m ne sont typiquement pas présentées puisqu’elles ne sont pas considérées significatives. |
| Méthodes d’agrégation de données | · Lors de la présentation de résultats d’exploration, les techniques de calcul de valeurs moyennes pondérées, le tronquement de teneurs maximum et/ou minimum (p. ex. : l’écrêtage des teneurs élevées) et les teneurs de coupure sont généralement importants et doivent être indiqués.· Lorsque des intersections regroupées comprennent de courts intervalles à haute teneur et de plus longs intervalles à basse teneur, la procédure utilisée pour les regrouper doit être indiquée et quelques exemples typiques de tels regroupements doivent être présentés en détail.
· Les hypothèses utilisées pour toute présentation de valeurs en équivalent métal doivent être clairement indiquées. |
· Des moyennes pondérées sur la longueur ont été utilisées pour calculer la teneur sur l’épaisseur.· Aucune teneur de coupure spécifique n’a été utilisée lors du calcul des valeurs teneur-épaisseur. La teneur moyenne en lithium et en tantale pondérée sur la longueur de l’intervalle de pegmatite entier est calculée pour tous les intervalles de pegmatite de plus de 2 m de longueur dans l’axe de forage, ainsi que dans les zones à plus haute teneur à la discrétion du géologue. Les pegmatites présentent une minéralisation irrégulière de par leur nature, ce qui fait que certains intervalles comportent un petit nombre d’échantillons faiblement minéralisés inclus dans le calcul. La dilution interne non pegmatitique est typiquement limitée à <3 m lorsque c’est pertinent, et les intervalles sont indiqués lorsque les résultats d’analyse sont divulgués.
· Aucune valeur en équivalent métal n’a été présentée. |
| Relation entre la largeur de la minéralisation et la longueur des intervalles | · Ces relations sont particulièrement importantes lors de la présentation de résultats d’exploration.· Si la géométrie de la minéralisation par rapport à l’angle d’un sondage est connue, sa nature doit être indiquée.
· Si elle n’est pas connue et que seules les longueurs dans l’axe de forage sont présentées, il doit y avoir une déclaration claire à cet effet (p. ex. : « longueur dans l’axe de forage, l’épaisseur réelle n’est pas connue »). |
· À CV5, la modélisation géologique se fait en continu, de sondage en sondage à mesure que les résultats d’analyse sont reçus. Toutefois, l’interprétation actuelle indique un grand corps principal de pegmatite orienté presque verticalement ou fortement incliné, flanqué de plusieurs lentilles pegmatitiques subordonnées (collectivement, la « pegmatite à spodumène CV5 »).· À CV13, la modélisation géologique se fait en continu, de sondage en sondage à mesure que les résultats d’analyse sont reçus. Toutefois, l’interprétation actuelle indique des corps de pegmatite supérieur et inférieur, orientés subparallèles l’un par rapport à l’autre et faiblement inclinés vers le nord (collectivement, la « pegmatite à spodumène CV13 »).
· À CV9, la modélisation géologique se fait en continu, de sondage en sondage à mesure que les résultats d’analyse sont reçus. Toutefois, l’interprétation actuelle indique que CV9 est constitué d’un seul dyke principal qui affleure en surface, fortement incliné vers le nord et plongeant modérément vers l’est-sud-est. Une étendue latérale de 450 m a été délimitée par forage et en affleurement. · Toutes les largeurs présentées sont des longueurs dans l’axe de forage. L’épaisseur réelle n’a pas été calculée pour chaque sondage en raison de l’espacement relativement large entre les sondages à ce stade-ci de la délimitation et de la nature typiquement irrégulière de la pegmatite, ainsi que l’orientation variable des sondages. Par conséquent, l’épaisseur réelle pourrait être très variable d’un sondage à l’autre. |
| Diagrammes | · Des cartes et sections appropriées (avec échelle) et des tableaux d’intersections doivent être inclus pour toute découverte importante qui est annoncée. Ceci doit inclure, sans s’y limiter, une vue en plan de l’emplacement des collets des sondages et des sections appropriées. | · Veuillez consulter les figures incluses dans les présentes ainsi que celles affichées sur le site web de la Société. |
| Rapports équilibrés | · Lorsqu’il n’est pas possible de rendre compte de tous les résultats d’exploration, une présentation représentative des basses et des hautes teneurs et/ou des épaisseurs doit être faite pour éviter une présentation trompeuse des résultats d’exploration. | · Veuillez consulter le (ou les) tableau(x) inclus dans les présentes ainsi que ceux affichés sur le site web de la Société.· Les résultats pour les intervalles de pegmatite de <2 m ne sont pas présentés. |
| Autres données d’exploration importantes | · D’autres données d’exploration, si elles sont pertinentes et importantes, doivent être présentées, incluant (sans s’y limiter) : les observations géologiques; les résultats de levés géophysiques; les résultats de levés géochimiques; la taille et la méthode de traitement des échantillons en vrac; les résultats d’essais métallurgiques; la densité apparente, les eaux souterraines, les caractéristiques géotechniques et du massif rocheux; les substances potentiellement délétères ou les contaminants. | · La Société s’affaire actuellement à réaliser des travaux environnementaux sur place, dans les secteurs des pegmatites CV5 et CV13. Aucune espèce de flore ou de faune en péril n’a été documentée sur la propriété jusqu’à maintenant, et plusieurs sites ont été identifiés comme étant potentiellement adéquats pour des infrastructures minières.· La Société a réalisé un levé bathymétrique du lac glaciaire peu profond qui recouvre une partie de la pegmatite à spodumène CV5. La profondeur du lac varie de <2 m à environ 18 m, bien que la majeure partie de la pegmatite à spodumène CV5 délimitée jusqu’à maintenant soit typiquement recouverte de <2 à 10 m d’eau.
· La Société a réalisé des essais métallurgiques préliminaires comportant des essais SLL et de séparation magnétique, qui ont produit des concentrés de spodumène à 6+ % Li2O avec une récupération de >70 % sur du matériel provenant des pegmatites CV5 et CV13, indiquant que la SMD serait une approche de traitement primaire viable, et que CV5 et CV13 pourraient toutes deux potentiellement alimenter la même usine de traitement. Un essai de SMD sur le matériel de la pegmatite à spodumène CV5 a livré un concentré de spodumène à une teneur de 5,8 % Li2O avec une récupération de 79 %, indiquant un fort potentiel qu’un traitement par SMD uniquement serait applicable. · Différents mandats requis pour faire progresser le projet vers des études économiques ont été entrepris, incluant, sans s’y limiter, une étude environnementale du milieu d’accueil, des études métallurgiques, géomécaniques, hydrogéologiques et hydrologiques, des consultations avec les parties prenantes, une caractérisation géochimique, ainsi que des études sur le transport et la logistique. |
| Travaux ultérieurs | · La nature et l’ampleur des travaux ultérieurs planifiés (p. ex. : vérifications des extensions latérales ou en profondeur, ou forage d’expansion à grande échelle).· Diagrammes indiquant clairement les secteurs d’extensions possibles, incluant les principales interprétations géologiques et les secteurs où de futurs travaux de forage sont prévus, pourvu que cette information ne soit pas commercialement sensible. | · La Société a l’intention de poursuivre les travaux de forage ciblant les pegmatites de la propriété Corvette, en mettant l’accent sur la pegmatite à spodumène CV5 et les lentilles subordonnées adjacentes, ainsi que sur la pegmatite CV13. Un programme de suivi par forage est aussi anticipé sur la pegmatite à spodumène CV9. |





