Highlights
- Continued strong lithium mineralization over wide intervals from infill drilling at CV5.
- 122.5 m at 1.42% Li2O, including 35.8 m at 2.15% Li2O (CV24-405).
- 71.4 m at 1.57% Li2O, including 14.2 m at 3.15% Li2O (CV24-435).
- 68.7 m at 1.56% Li2O and 22.5 m at 1.04% Li2O (CV24-414).
- 74.9 m at 1.28% Li2O, including 28.1 m at 2.28% Li2O (CV24-423A).
- 53.0 m at 1.22% Li2O, including 25.0 m at 1.65% Li2O (CV24-450).
- The focus of the 2024 winter drilling at CV5 was to support an upgrade in mineral resource confidence, from the inferred category to the indicated category, targeting release in Q3 2024 inclusive of a maiden CV13 resource.
- Multiple holes remain to be reported targeting the newly discovered high-grade zone at CV13, with the Company to report the assay results as soon as they are received in the coming weeks.
- 38,887 m (111 holes) remain to be reported from the 2024 winter drill program – 27,611 m (67 holes) at CV5, and 11,276 m (44 holes) at CV13.
Patriot Battery Metals Inc. (the “Company” or “Patriot”) (TSX: PMET) (ASX: PMT) (OTCQX: PMETF) (FSE: R9GA) is pleased to announce the next batch of core assay results for drill holes completed in 2024 at the CV5 Spodumene Pegmatite. The Corvette Property (the “Property” or “Project”), wholly owned by the Company, is located in the Eeyou Istchee James Bay region of Quebec. The CV5 Spodumene Pegmatite, with a maiden mineral resource estimate (“MRE”) of 109.2 Mt at 1.42% Li2O inferred1, is situated approximately 13.5 km south of the regional and all‑weather Trans-Taiga Road and powerline infrastructure.
Darren L. Smith, Vice President of Exploration for the Company comments, “Another round of CV5 core assays from our infill program and it continues to deliver to expectations. Coupled with the new high-grade discovery at CV13, the 2024 winter program’s results continue to demonstrate the quality and scale on show at Corvette.”
“It’s been a huge effort from the team to progress what was a very large-scale drill program over the last 6-8 months. Through their efforts, all drilling up until our recent seasonal break, including the previously highlighted CV13 high-grade discovery, will make it into the upcoming resource update”, added Mr. Smith.
Figure 1: Drill holes completed at the CV5 Spodumene Pegmatite through April 2024.
Core assay results for 20 drill holes, completed during the recently completed 2024 winter drill program at the CV5 Spodumene Pegmatite, are reported herein (Figure 1). Highlights include:
- 122.5 m at 1.42% Li2O, including 35.8 m at 2.15% Li2O (CV24-405).
- 71.4 m at 1.57% Li2O, including 14.2 m at 3.15% Li2O (CV24-435).
- 68.7 m at 1.56% Li2O and 22.5 m at 1.04% Li2O (CV24-414).
- 74.9 m at 1.28% Li2O, including 28.1 m at 2.28% Li2O (CV24-423A).
- 53.0 m at 1.22% Li2O, including 25.0 m at 1.65% Li2O (CV24-450).
The results of the drill holes reported herein cover a significant strike length of the CV5 Spodumene Pegmatite. The holes were completed at varying orientations targeting specific sections of the pegmatite body at depth over a significant strike length. The results continue to demonstrate robust thicknesses and lithium grade of the spodumene pegmatite body(s) that define CV5 (Figure 2 and Figure 3).
The 2024 winter drill program at CV5 focused on resource infill and covered ~3.9 km of the total 4.6 km pegmatite strike length defined to date. The primary objective of the infill drilling is to improve the confidence of the geological model at CV5 to support an upgrade of mineral resources from the inferred category to the indicated category. This includes the delineation of a coherent body of indicated mineral resources to support advanced development and pending economic studies at CV5.
The 2024 winter drill program (now complete), totaled 62,518 m (166 holes), including 50,961 m (121 holes) at CV5, and 11,557 m (45 holes) at CV13, of which 38,886.6 m (111 holes) remain to be reported – 27,611 m (67 holes) at CV5, and 11,276 m (44 holes) at CV13. This includes multiple holes that remain to be reported targeting the newly discovered high-grade zone at CV13.
An updated MRE for the Corvette Project, incorporating drilling through April 2024, is scheduled for Q3 2024. This MRE update will include both the CV5 and CV13 spodumene pegmatites and a total anticipated metreage of 134,129 m (369 holes) and 29,121 m (133 holes), respectively.
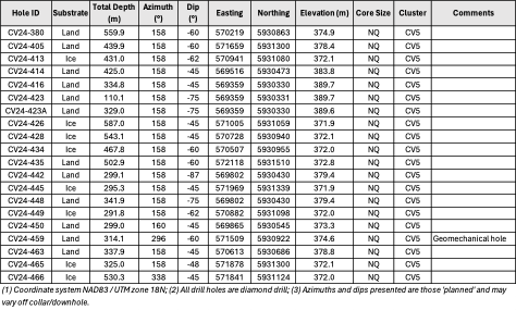
Core sample assays for drill holes reported herein from the CV5 Spodumene Pegmatite are presented in Table1 for all pegmatite intersections >2 m. Drill hole locations and attributes are presented in Table 2.
Figure 2: High-grade spodumene pegmatite intercept in drill hole CV24-435 at CV5. Core grades ~2.9% Li2O over interval presented (271.0 m to 284.5 m) including 4.77% Li2O from 281.0 m to 282.0 m.
Figure 3: Large spodumene crystal(s) in quartz pegmatite, drill hole CV24-435 at ~311.5 m depth.
Table 1: Core assay summary for drill holes reported herein at the CV5 Spodumene Pegmatite.
Table 2: Attributes for drill holes reported herein at the CV5 Spodumene Pegmatite.
1 The CV5 mineral resource estimate (109.2 Mt at 1.42% Li2O and 160 ppm Ta2O5 inferred) is reported at a cut-off grade of 0.40% Li2O with effective date of June 25, 2023 (through drill hole CV23-190). Mineral resources are not mineral reserves as they do not have demonstrated economic viability. Largest lithium pegmatite resource in the Americas based on contained LCE.
Quality Assurance / Quality Control (QAQC)
A Quality Assurance / Quality Control protocol following industry best practices was incorporated into the program and included systematic insertion of quartz blanks and certified reference materials into sample batches at a rate of approximately 5%. Additionally, analysis of pulp-split sample duplicates was completed to assess analytical precision, and external (secondary) laboratory pulp-split duplicates were prepared at the primary lab for subsequent check analysis and validation.
All core samples collected were shipped to SGS Canada’s laboratory in Radisson, QC, for sample preparation (code PRP90 special) which includes drying at 105°C, crush to 90% passing 2 mm, riffle split 250 g, and pulverize 85% passing 75 microns. The pulps were shipped by air to SGS Canada’s laboratory in Burnaby, BC, where the samples were homogenized and subsequently analyzed for multi-element (including Li and Ta) using sodium peroxide fusion with ICP-AES/MS finish (codes GE_ICP91A50 and GE_IMS91A50).
About the CV Lithium Trend
The CV Lithium Trend is an emerging spodumene pegmatite district discovered by the Company in 2017 and is interpreted to span more than 50 kilometres across the Corvette Property. The core area includes the approximate 4.6 km long CV5 Spodumene Pegmatite, which hosts a maiden mineral resource estimate of 109.2 Mt at 1.42% Li2O inferred1.
To date, eight (8) distinct clusters of lithium pegmatite have been discovered across the Corvette Property – CV4, CV5, CV8, CV9, CV10, CV12, CV13, and the recently discovered CV14. Given the proximity of some pegmatite outcrops to each other, as well as the shallow till cover in the area, it is probable that some of the outcrops may reflect a discontinuous surface exposure of a single, larger pegmatite “outcrop” subsurface.
Qualified/Competent Person
The information in this news release that relates to exploration results for the Corvette Property is based on, and fairly represents, information compiled by Mr. Darren L. Smith, M.Sc., P.Geo., who is a Qualified Person as defined by National Instrument 43-101 – Standards of Disclosure for Mineral Projects, and member in good standing with the Ordre des Géologues du Québec (Geologist Permit number 01968), and with the Association of Professional Engineers and Geoscientists of Alberta (member number 87868). Mr. Smith has reviewed and approved the technical information in this news release.
Mr. Smith is Vice President of Exploration for Patriot Battery Metals Inc. and holds common shares and options in the Company.
Mr. Smith has sufficient experience, which is relevant to the style of mineralization, type of deposit under consideration, and to the activities being undertaken to qualify as a Competent Person as described by the Australasian Code for Reporting of Exploration Results, Mineral Resources and Ore Reserves (the JORC Code). Mr. Smith consents to the inclusion in this news release of the matters based on his information in the form and context in which it appears.
About Patriot Battery Metals Inc.
Patriot Battery Metals Inc. is a hard-rock lithium exploration company focused on advancing its district-scale 100% owned Corvette Property located in the Eeyou Istchee James Bay region of Quebec, Canada, and proximal to regional road and powerline infrastructure. The Corvette Property hosts the CV5 Spodumene Pegmatite with a maiden mineral resource estimate of 109.2 Mt at 1.42% Li2O inferred1 and ranks as the largest lithium pegmatite resource in the Americas based on contained lithium carbonate equivalent (LCE), and one of the top 10 largest lithium pegmatite resources in the world. Additionally, the Corvette Property hosts multiple other spodumene pegmatite clusters that remain to be drill tested, as well as more than 20 km of prospective trend that remains to be assessed.
1 The CV5 mineral resource estimate (109.2 Mt at 1.42% Li2O and 160 ppm Ta2O5 inferred) is reported at a cut-off grade of 0.40% Li2O with effective date of June 25, 2023 (through drill hole CV23-190). Mineral resources are not mineral reserves as they do not have demonstrated economic viability. Largest lithium pegmatite resource in the Americas based on contained LCE.
For further information, please contact us at [email protected] or by calling +1 (604) 279-8709, or visit www.patriotbatterymetals.com. Please also refer to the Company’s continuous disclosure filings, available under its profile at www.sedarplus.ca and www.asx.com.au, for available exploration data.
This news release has been approved by the Board of Directors.
“KEN BRINSDEN”
Kenneth Brinsden, President, CEO, & Managing Director
Brad Seward
Vice President, Investor Relations
T: +61 400 199 471
E: [email protected]
Olivier Caza-Lapointe
Head, Investor Relations – North America
T: +1 (514) 913-5264
E: [email protected]
Disclaimer for Forward-looking Information
This news release contains “forward-looking information” or “forward-looking statements” within the meaning of applicable securities laws and other statements that are not historical facts. Forward-looking statements are included to provide information about management’s current expectations and plans that allows investors and others to have a better understanding of the Company’s business plans and financial performance and condition.
All statements, other than statements of historical fact included in this news release, regarding the Company’s strategy, future operations, technical assessments, prospects, plans and objectives of management are forward-looking statements that involve risks and uncertainties. Forward-looking statements are typically identified by words such as “plan”, “expect”, “estimate”, “intend”, “anticipate”, “believe”, or variations of such words and phrases or statements that certain actions, events or results “may”, “could”, “would”, “might” or “will” be taken, occur or be achieved. Forward-looking statements in this release include, but are not limited to, statements concerning: the completion of an updated MRE on the Property, the processing and receipt of all remaining core samples and statements relating to the continuity of spodumene pegmatite at CV5.
Forward-looking information is based upon certain assumptions and other important factors that, if untrue, could cause the actual results, performance or achievements of the Company to be materially different from future results, performance or achievements expressed or implied by such information or statements. There can be no assurance that such information or statements will prove to be accurate. Key assumptions upon which the Company’s forward-looking information is based include that proposed exploration and mineral resource estimate work on the Property will continue as expected, and that exploration and development results continue to support management’s current plans for Property development.
Readers are cautioned that the foregoing list is not exhaustive of all factors and assumptions which may have been used. Forward-looking statements are also subject to risks and uncertainties facing the Company’s business, any of which could have a material adverse effect on the Company’s business, financial condition, results of operations and growth prospects. Some of the risks the Company faces and the uncertainties that could cause actual results to differ materially from those expressed in the forward-looking statements include, among others, the ability to execute on plans relating to the Company’s Project, including the timing thereof. In addition, readers are directed to carefully review the detailed risk discussion in the Company’s most recent Annual Information Form filed on SEDAR+, which discussion is incorporated by reference in this news release, for a fuller understanding of the risks and uncertainties that affect the Company’s business and operations.
Although the Company believes its expectations are based upon reasonable assumptions and has attempted to identify important factors that could cause actual actions, events or results to differ materially from those described in forward-looking statements, there may be other factors that cause actions, events or results not to be as anticipated, estimated or intended. There can be no assurance that forward-looking information will prove to be accurate, as actual results and future events could differ materially from those anticipated in such information. As such, these risks are not exhaustive; however, they should be considered carefully. If any of these risks or uncertainties materialize, actual results may vary materially from those anticipated in the forward-looking statements found herein. Due to the risks, uncertainties and assumptions inherent in forward-looking statements, readers should not place undue reliance on forward-looking statements.
Forward-looking statements contained herein are presented for the purpose of assisting investors in understanding the Company’s business plans, financial performance and condition and may not be appropriate for other purposes.
The forward-looking statements contained herein are made only as of the date hereof. The Company disclaims any intention or obligation to update or revise any forward-looking statements, whether as a result of new information, future events or otherwise, except to the extent required by applicable law. The Company qualifies all of its forward-looking statements by these cautionary statements.
Competent Person Statement (ASX Listing Rule 5.22)
The mineral resource estimate in this release was reported by the Company in accordance with ASX Listing Rule 5.8 on July 31, 2023. The Company confirms it is not aware of any new information or data that materially affects the information included in the announcement and that all material assumptions and technical parameters underpinning the estimates in the announcement continue to apply and have not materially changed. The Company confirms that the form and context in which the competent person’s findings are presented have not been materially modified from the original market announcement.
Appendix 1 – JORC Code 2012 Table 1 (ASX Listing Rule 5.7.1)
Section 1 – Sampling Techniques and Data
| Criteria | JORC Code explanation | Commentary |
| Sampling techniques | · Nature and quality of sampling (eg cut channels, random chips, or specific specialized industry standard measurement tools appropriate to the minerals under investigation, such as down hole gamma sondes, or handheld XRF instruments, etc). These examples should not be taken as limiting the broad meaning of sampling. |
· Include reference to measures taken to ensure sample representivity and the appropriate calibration of any measurement tools or systems used.
· Aspects of the determination of mineralization that are Material to the Public Report.
· In cases where ‘industry standard’ work has been done this would be relatively simple (eg ‘reverse circulation drilling was used to obtain 1 m samples from which 3 kg was pulverized to produce a 30 g charge for fire assay’). In other cases more explanation may be required, such as where there is coarse gold that has inherent sampling problems. Unusual commodities or mineralization types (eg submarine nodules) may warrant disclosure of detailed information.· Core sampling protocols meet industry standard practices.
· Core sampling is guided by lithology as determined during geological logging (i.e., by a geologist). All pegmatite intervals are sampled in their entirety (half-core), regardless if spodumene mineralization is noted or not (in order to ensure an unbiased sampling approach) in addition to ~1 to 3 m of sampling into the adjacent host rock (dependent on pegmatite interval length) to “bookend” the sampled pegmatite.
· The minimum individual sample length is typically 0.5 m and the maximum sample length is typically 2.0 m. Targeted individual pegmatite sample lengths are 1.0 to 1.5 m.
· All drill core is oriented to maximum foliation prior to logging and sampling and is cut with a core saw into half-core pieces, with one half-core collected for assay, and the other half-core remaining in the box for reference.
· Core samples collected from drill holes were shipped to SGS Canada’s laboratory in Val-d’Or, QC (CV5) and Radisson, QC (CV13) forsample preparation (code PRP90 special) which included drying at 105°C, crush to 90% passing 2 mm, riffle split 250 g, and pulverize 85% passing 75 microns. Core sample pulps were shipped by air to SGS Canada’s laboratory in Burnaby, BC, where the samples were homogenized and subsequently analyzed for multi-element (including Li and Ta) using sodium peroxide fusion with ICP-AES/MS finish (codes GE_ICP91A50 and GE_IMS91A50).Drilling techniques· Drill type (eg core, reverse circulation, open-hole hammer, rotary air blast, auger, Bangka, sonic, etc) and details (eg core diameter, triple or standard tube, depth of diamond tails, face-sampling bit or other type, whether core is oriented and if so, by what method, etc).· NQ size core diamond drilling was completed for all holes. Core was not oriented.Drill sample recovery· Method of recording and assessing core and chip sample recoveries and results assessed.
· Measures taken to maximize sample recovery and ensure representative nature of the samples.
· Whether a relationship exists between sample recovery and grade and whether sample bias may have occurred due to preferential loss/gain of fine/coarse material.· All drill core was geotechnically logged following industry standard practices, and include TCR, RQD, ISRM, and Q-Method. Core recovery is very good and typically exceeds 90%.Logging· Whether core and chip samples have been geologically and geotechnically logged to a level of detail to support appropriate Mineral Resource estimation, mining studies and metallurgical studies.
· Whether logging is qualitative or quantitative in nature. Core (or costean, channel, etc) photography.
· The total length and percentage of the relevant intersections logged.· Upon receipt at the core shack, all drill core is pieced together, oriented to maximum foliation, metre marked, geotechnically logged (including structure), alteration logged, geologically logged, and sample logged on an individual sample basis. Core box photos are also collected of all core drilled, regardless of perceived mineralization. Specific gravity measurements of pegmatite are also collected at systematic intervals for all pegmatite drill core using the water immersion method, as well as select host rock drill core.
· The logging is qualitative by nature, and includes estimates of spodumene grain size, inclusions, and model mineral estimates.
· These logging practices meet or exceed current industry standard practices.Sub-sampling techniques and sample preparation· If core, whether cut or sawn and whether quarter, half or all core taken.
· If non-core, whether riffled, tube sampled, rotary split, etc and whether sampled wet or dry.
· For all sample types, the nature, quality and appropriateness of the sample preparation technique.
· Quality control procedures adopted for all sub-sampling stages to maximize representivity of samples.
· Measures taken to ensure that the sampling is representative of the in situ material collected, including for instance results for field duplicate/second-half sampling.
· Whether sample sizes are appropriate to the grain size of the material being sampled.· Drill core sampling follows industry best practices. Drill core was saw-cut with half-core sent for geochemical analysis and half-core remaining in the box for reference. The same side of the core was sampled to maintain representativeness.
· Sample sizes are appropriate for the material being assayed.
· A Quality Assurance / Quality Control (QAQC) protocol following industry best practices was incorporated into the program and included systematic insertion of quartz blanks and certified reference materials (CRMs) into sample batches at a rate of approximately 5% each. Additionally, analysis of pulp-split duplicates was completed to assess analytical precision, and external (secondary) laboratory pulp-split duplicates were prepared at the primary lab for subsequent check analysis and validation at a secondary lab.
· All protocols employed are considered appropriate for the sample type and nature of mineralization and are considered the optimal approach for maintaining representativeness in sampling.Quality of assay data and laboratory tests· The nature, quality and appropriateness of the assaying and laboratory procedures used and whether the technique is considered partial or total.
· For geophysical tools, spectrometers, handheld XRF instruments, etc, the parameters used in determining the analysis including instrument make and model, reading times, calibrations factors applied and their derivation, etc.
· Nature of quality control procedures adopted (eg standards, blanks, duplicates, external laboratory checks) and whether acceptable levels of accuracy (ie lack of bias) and precision have been established.· Core samples collected from drill holes were shipped to SGS Canada’s laboratory in Val-d’Or, QC (CV5) and Radisson, QC (CV13) forstandard sample preparation (code PRP90 special) which included drying at 105°C, crush to 90% passing 2 mm, riffle split 250 g, and pulverize 85% passing 75 microns. Core sample pulps were shipped by air to SGS Canada’s laboratory in Burnaby, BC, where the samples were homogenized and subsequently analyzed for multi-element (including Li and Ta) using sodium peroxide fusion with ICP-AES/MS finish (codes GE_ICP91A50 and GE_IMS91A50).
· The Company relies on both its internal QAQC protocols (systematic use of blanks, certified reference materials, and external checks), as well as the laboratory’s internal QAQC.
· All protocols employed are considered appropriate for the sample type and nature of mineralization and are considered the optimal approach for maintaining representativeness in sampling.Verification of sampling and assaying· The verification of significant intersections by either independent or alternative company personnel.
· The use of twinned holes.
· Documentation of primary data, data entry procedures, data verification, data storage (physical and electronic) protocols.
· Discuss any adjustment to assay data.· Intervals are reviewed and compiled by the VP Exploration and Project Managers prior to disclosure, including a review of the Company’s internal QAQC sample analytical data.
· Data capture utilizes MX Deposit software whereby core logging data is entered directly into the software for storage, including direct import of laboratory analytical certificates as they are received. The Company employs various on-site and post QAQC protocols to ensure data integrity and accuracy.
· Adjustments to data include reporting lithium and tantalum in their oxide forms, as it is reported in elemental form in the assay certificates. Formulas used are Li2O = Li x 2.153, and Ta2O5 = Ta x 1.221.Location of data points· Accuracy and quality of surveys used to locate drill holes (collar and down-hole surveys), trenches, mine workings and other locations used in Mineral Resource estimation.
· Specification of the grid system used.
· Quality and adequacy of topographic control.· Each drill hole’s collar has been surveyed with a RTK Trimble Zephyr 3.
· The coordinate system used is UTM NAD83 Zone 18.
· The Company completed a property-wide LiDAR and orthophoto survey in August 2022, which provides high-quality topographic control.
· The quality and accuracy of the topographic controls are considered adequate for advanced stage exploration and development, including mineral resource estimation.Data spacing and distribution· Data spacing for reporting of Exploration Results.
· Whether the data spacing and distribution is sufficient to establish the degree of geological and grade continuity appropriate for the Mineral Resource and Ore Reserve estimation procedure(s) and classifications applied.
· Whether sample compositing has been applied.· At CV5, drill hole collar spacing is dominantly grid based. Several collars are typically completed from the same pad at varied orientations targeting pegmatite pierce points of ~50 to 100 m spacing.
· At CV13, drill hole spacing is dominantly grid based at ~100 m; however, collar locations and hole orientations may vary widely, which reflect the varied orientation of the pegmatite body along strike.
· At CV9, drill hole collar spacing is irregular with varied hole orientations and multiple collars on the same pad.
· It is interpreted that the large majority of the drill hole spacing at each pegmatite is sufficient to support a mineral resource estimate.
· Core sample lengths typically range from 0.5 to 2.0 m and average ~1.0 to 1.5 m. Sampling is continuous within all pegmatite encountered in the drill hole.Orientation of data in relation to geological structure· Whether the orientation of sampling achieves unbiased sampling of possible structures and the extent to which this is known, considering the deposit type.
· If the relationship between the drilling orientation and the orientation of key mineralized structures is considered to have introduced a sampling bias, this should be assessed and reported if material.· No sampling bias is anticipated based on structure within the mineralized body.
· The principal mineralized bodies are relatively undeformed and very competent, although have some meaningful structural control.
· At CV5, the principal mineralized body and adjacent lenses are steeply dipping resulting in oblique angles of intersection with true widths varying based on drill hole angle and orientation of pegmatite at that particular intersection point. i.e., the dip of the mineralized pegmatite body has variations in a vertical sense and along strike, so the true widths are not always apparent until several holes have been drilled (at the appropriate spacing) in any particular drill-fence.
· At CV13, the principal pegmatite body has a shallow varied strike and northerly dip.
· At CV9, the orientation and geometry of the pegmatite is not well understood. The pegmatite is currently interpreted to be comprised of a single principal dyke, which outcrops at surface, has a steep northerly dip, and is moderately plunging to the east-southeast.Sample security· The measures taken to ensure sample security.· Samples were collected by Company staff or its consultants following specific protocols governing sample collection and handling. Core samples were bagged, placed in large supersacs for added security, palleted, and shipped directly to Val-d’Or, QC, or Radisson, QC, being tracked during shipment along with Chain of Custody. Upon arrival at the laboratory, the samples were cross-referenced with the shipping manifest to confirm all samples were accounted for. At the laboratory, sample bags are evaluated for tampering.Audits or reviews· The results of any audits or reviews of sampling techniques and data.· A review of the sample procedures for the Company’s 2021 fall drill program (CF21-001 to 004) and 2022 winter drill program (CV22-015 to 034) was completed by an Independent Competent Person and deemed adequate and acceptable to industry best practices (discussed in a technical report titled “NI 43-101 Technical Report on the Corvette Property, Quebec, Canada”, by Alex Knox, M.Sc., P.Geol., Issue Date of June 27th, 2022.)
· A review of the sample procedures through the Company’s 2023 winter drill program (through CV23-190) was completed by an independent Competent Person with respect to the CV5 Pegmatite’s maiden mineral resource estimate and deemed adequate and acceptable to industry best practices (discussed in a technical report titled ” NI 43‑101 Technical Report, Mineral Resource Estimate for the CV5 Pegmatite, Corvette Property” by Todd McCracken, P.Geo., of BBA Engineering Ltd., and Ryan Cunningham, M.Eng., P.Eng., of Primero Group Americas Inc., Effective Date of June 25, 2023, and Issue Date of September 8, 2023.
· Additionally, the Company continually reviews and evaluates its procedures in order to optimize and ensure compliance at all levels of sample data collection and handling.
Section 2 – Reporting of Exploration Results
| Criteria | JORC Code explanation | Commentary |
| Mineral tenement and land tenure status | · Type, reference name/number, location and ownership including agreements or material issues with third parties such as joint ventures, partnerships, overriding royalties, native title interests, historical sites, wilderness or national park and environmental settings. |
· The security of the tenure held at the time of reporting along with any known impediments to obtaining a licence to operate in the area.· The Corvette Property is comprised of 424 CDC claims located in the James Bay Region of Quebec, with Patriot Battery Metals Inc. being the registered title holder for all of the claims. The northern border of the Property’s primary claim block is located within approximately 6 km to the south of the Trans-Taiga Road and powerline infrastructure corridor. The CV5 Spodumene Pegmatite is situated approximately 13.5 km south of the regional and all‑weather Trans-Taiga Road and powerline infrastructure. The CV13 and CV9 spodumene pegmatites are located approximately 3 km west-southwest and 14 km west of CV5, respectively.
· The Company holds 100% interest in the Property subject to various royalty obligations depending on original acquisition agreements. DG Resources Management holds a 2% NSR (no buyback) on 76 claims, D.B.A. Canadian Mining House holds a 2% NSR on 50 claims (half buyback for $2M) and Osisko Gold Royalties holds a sliding scale NSR of 1.5-3.5% on precious metals, and 2% on all other products, over 111 claims. The vast majority of the CV13 Spodumene Pegmatite, as is currently delineated, is not subject to a royalty.
· The Property does not overlap any atypically sensitive environmental areas or parks, or historical sites to the knowledge of the Company. There are no known hinderances to operating at the Property, apart from the goose harvesting season (typically mid-April to mid-May) where the communities request helicopter flying not be completed, and potentially wildfires depending on the season, scale, and location.
· Claim expiry dates range from February 2025 to November 2026.Exploration done by other parties· Acknowledgment and appraisal of exploration by other parties.· No core assay results from other parties are disclosed herein.
· The most recent independent Property review was a technical report titled “NI 43-101 Technical Report, Mineral Resource Estimate for the CV5 Pegmatite, Corvette Property, James Bay Region, Québec, Canada”, by Todd McCracken, P.Geo., of BBA Engineering Ltd., and Ryan Cunningham, M.Eng., P.Eng., of Primero Group Americas Inc., Effective Date of June 25, 2023, and Issue Date of September 8, 2023.Geology· Deposit type, geological setting and style of mineralization.· The Property overlies a large portion of the Lac Guyer Greenstone Belt, considered part of the larger La Grande River Greenstone Belt and is dominated by volcanic rocks metamorphosed to amphibolite facies. The claim block is dominantly host to rocks of the Guyer Group (amphibolite, iron formation, intermediate to mafic volcanics, peridotite, pyroxenite, komatiite, as well as felsic volcanics). The amphibolite rocks that trend east-west (generally steeply south dipping) through this region are bordered to the north by the Magin Formation (conglomerate and wacke) and to the south by an assemblage of tonalite, granodiorite, and diorite, in addition to metasediments of the Marbot Group (conglomerate, wacke). Several regional-scale Proterozoic gabbroic dykes also cut through portions of the Property (Lac Spirt Dykes, Senneterre Dykes).
· The geological setting is prospective for gold, silver, base metals, platinum group elements, and lithium over several different deposit styles including orogenic gold (Au), volcanogenic massive sulfide (Cu, Au, Ag), komatiite-ultramafic (Au, Ag, PGE, Ni, Cu, Co), and pegmatite (Li, Ta).
· Exploration of the Property has outlined three primary mineral exploration trends crossing dominantly east-west over large portions of the Property – Golden Trend (gold), Maven Trend (copper, gold, silver), and CV Trend (lithium, tantalum). The CV5 and CV13 spodumene pegmatites are situated within the CV Trend. Lithium mineralization at the Property, including at CV5, CV13, and CV9, is observed to occur within quartz-feldspar pegmatite, which may be exposed at surface as high relief ‘whale-back’ landforms. The pegmatite is often very coarse-grained and off-white in appearance, with darker sections commonly composed of mica and smoky quartz, and occasional tourmaline.
· The lithium pegmatites at Corvette are categorized as LCT Pegmatites. Core assays and ongoing mineralogical studies, coupled with field mineral identification and assays, indicate spodumene as the dominant lithium-bearing mineral on the Property, with no significant petalite, lepidolite, lithium-phosphate minerals, or apatite present. The pegmatites also carry significant tantalum values with tantalite indicated to be the mineral phase.Drill hole Information· A summary of all information material to the understanding of the exploration results including a tabulation of the following information for all Material drill holes:
o easting and northing of the drill hole collar
o elevation or RL (Reduced Level – elevation above sea level in metres) of the drill hole collar
o dip and azimuth of the hole
o down hole length and interception depth
o hole length.
· If the exclusion of this information is justified on the basis that the information is not Material and this exclusion does not detract from the understanding of the report, the Competent Person should clearly explain why this is the case.· Drill hole attribute information is included in a table herein.
· Pegmatite intersections of <2 m are not typically presented as they are considered insignificant.Data aggregation methods· In reporting Exploration Results, weighting averaging techniques, maximum and/or minimum grade truncations (eg cutting of high grades) and cut-off grades are usually Material and should be stated.
· Where aggregate intercepts incorporate short lengths of high grade results and longer lengths of low grade results, the procedure used for such aggregation should be stated and some typical examples of such aggregations should be shown in detail.
· The assumptions used for any reporting of metal equivalent values should be clearly stated.· Length weighted averages were used to calculate grade over width.
· No specific grade cap or cut-off was used during grade width calculations. The lithium and tantalum length weighted average grade of the entire pegmatite interval is calculated for all pegmatite intervals over 2 m core length, as well as higher grade zones at the discretion of the geologist. Pegmatites have inconsistent mineralization by nature, resulting in some intervals having a small number of poorly mineralized samples included in the calculation. Non-pegmatite internal dilution is limited to typically <3 m where relevant and intervals indicated when assays are reported.
· No metal equivalents have been reported.Relationship between mineralization widths and intercept lengths· These relationships are particularly important in the reporting of Exploration Results.
· If the geometry of the mineralization with respect to the drill hole angle is known, its nature should be reported.
· If it is not known and only the down hole lengths are reported, there should be a clear statement to this effect (eg ‘down hole length, true width not known’).· At CV5, geological modelling is ongoing on a hole-by-hole basis and as assays are received. However, current interpretation supports a principal, large pegmatite body of near vertical to steeply dipping orientation, flanked by several subordinate pegmatite lenses (collectively, the ‘CV5 Spodumene Pegmatite’)
· At CV13, geological modelling is ongoing on a hole-by-hole basis and as assays are received. However, current interpretation supports an upper and lower pegmatite body, each trending sub-parallel to each other with a shallow northerly dip (collectively, the ‘CV13 Spodumene Pegmatite’)
· At CV9, geological modelling is ongoing on a hole-by-hole basis and as assays are received. However, current interpretation indicates CV9 is comprised of a single principal dyke, which outcrops at surface, has a steep northerly dip, and is moderately plunging to the east-southeast. A strike length of 450 m has been delineated through drilling and outcrop.
· All reported widths are core length. True widths are not calculated for each hole due to the relatively wide drill spacing at this stage of delineation and the typical irregular nature of pegmatite, as well as the varied drill hole orientations. As such, true widths may vary widely from hole to hole.Diagrams· Appropriate maps and sections (with scales) and tabulations of intercepts should be included for any significant discovery being reported These should include, but not be limited to a plan view of drill hole collar locations and appropriate sectional views.· Please refer to the figures included herein as well as those posted on the Company’s website.Balanced reporting· Where comprehensive reporting of all Exploration Results is not practicable, representative reporting of both low and high grades and/or widths should be practiced to avoid misleading reporting of Exploration Results.· Please refer to the table(s) included herein as well as those posted on the Company’s website.
· Results for pegmatite intervals <2 m are not reported.Other substantive exploration data· Other exploration data, if meaningful and material, should be reported including (but not limited to): geological observations; geophysical survey results; geochemical survey results; bulk samples – size and method of treatment; metallurgical test results; bulk density, groundwater, geotechnical and rock characteristics; potential deleterious or contaminating substances.· The Company is currently completing site environmental work over the CV5 and CV13 pegmatite area. No endangered flora or fauna have been documented over the Property to date, and several sites have been identified as potentially suitable for mine infrastructure.
· The Company has completed a bathymetric survey over the shallow glacial lake which overlies a portion of the CV5 Spodumene Pegmatite. The lake depth ranges from <2 m to approximately 18 m, although the majority of the CV5 Spodumene Pegmatite, as delineated to date, is overlain by typically <2 to 10 m of water.
· The Company has completed preliminary metallurgical testing comprised of HLS and magnetic testing, which has produced 6+% Li2O spodumene concentrates at >70% recovery on both CV5 and CV13 pegmatite material, indicating DMS as a viable primary process approach, and that both CV5 and CV13 could potentially feed the same process plant. A DMS test on CV5 Spodumene Pegmatite material returned a spodumene concentrate grading 5.8% Li2O at 79% recovery, strongly indicating potential for a DMS only operation to be applicable.
· Various mandates required for advancing the Project towards economic studies have been initiated, including but not limited to, environmental baseline, metallurgy, geomechanics, hydrogeology, hydrology, stakeholder engagement, geochemical characterization, as well as transportation and logistical studies.Further work· The nature and scale of planned further work (eg tests for lateral extensions or depth extensions or large-scale step-out drilling).
· Diagrams clearly highlighting the areas of possible extensions, including the main geological interpretations and future drilling areas, provided this information is not commercially sensitive.· The Company intends to continue drilling the pegmatites of the Corvette Property, focused on the CV5 Pegmatite and adjacent subordinate lenses, as well as the CV13 Pegmatite. A follow-up drill program at the CV9 Spodumene Pegmatite is also anticipated.





